Pregabalin 75 mg 

Category- Allopathy

Medicine Highlight 

Uses 1- To treat nerve pain 
2- To treat muscle pain  
3- To treat seizures 
4- To treat spinal cord nerve pain 
Common side effect  1- Dizziness 
2- Sleepiness 
3- Headache 
4- Tiredness 
Additional information Alcohol should be avoided both before and after taking the medicine. 
Storage 1- The medicine should be stored at room temperature 
2- Keep away from sunlight and moisture 
3- Keep away from the reach of children 
How to Take This MedicineThe medicine should be taken orally

Pregabalin Summary

Pregabalin 75 mg is taken orally and belongs to the antiseizure (anticonvulsant) class of medicine. It is approved for the treatment of nerve pain, muscle pain, seizures, and spinal cord nerve pain.

You should take this medicine as instructed by your doctor, either before or after meals, or before or after sleep. Side effects of this medicine may include dizziness, sleepiness, headache, tiredness, nausea, and blurred vision. Do not stop taking this medicine unless advised by your doctor.

Inform your doctor if you are pregnant, breastfeeding, or have weak muscles, as your doctor may prescribe an alternative medication in such cases.

Pregabalin Uses 

Pregabalin 75 mg is an oral medicine belonging to the class of anticonvulsant medicines. It is used for the following indications: 

  1. Nerve pain (Neuropathy pain)   
  2. Muscle pain and fatigue (Fibromyalgia)  
  3. Seizure/ Convulsion 
  4. Spinal cord nerve pain 

Direction for use 

  1. Take pregabalin exactly as prescribed by your doctor, regularly at the same time each day. 
  2. Do not stop taking pregabalin without your doctor’s approval, even if you feel better. 
  3. If you forget to take the medicine, take it as soon as you remember, unless it’s almost time for the next one, then just skip it. 

Pregabalin Side Effects

More Common  

  • Dizziness 
  • Sleepiness 
  • Headache 
  • Tiredness 
  • Fluid retention 
  • Nausea 
  • Blurred vision 
  • Dry mouth 
  • Weight gain 

Less common 

  • Chest pain or tightness 
  • cold sweats 
  • cool, pale skin 
  • cough producing mucus 
  • difficult or labored breathing 
  • muscle aches, twitching or jerking, or weakness 
  • noisy breathing 
  • seizures 

How pregabalin works  

Pregabalin is designed to easily enter the brain, where it works like an electrician. It calms overactive nerves by reducing the excessive flow of electrical signals (voltage gated channel) responsible for pain and seizures, helping to restore balance and provide relief. 

Safety Measures and Warning

  1. Pregnancy – Pregabalin can cross the placenta and potentially harm the fetus. Therefore, patients should inform their doctor about their pregnancy or plans to conceive before using this medication. 
  2. Breastfeeding- If you are breastfeeding, avoid taking pregabalin, as it can pass into breast milk and may harm the baby. 
  3. Muscle damage- Clinical studies found that pregabalin can damage skeletal muscles, causing their contents to leak into the bloodstream. 

Pregabalin Interaction With Other Medicines 

Pregabalin Interaction with Food Products 

Pregabalin does not interact with any food products, but alcohol should be avoided before and after taking the medicine, as it can increase drowsiness and sleepiness. 

Storage   

  1. The medicine should be stored at room temperature  
  2. Keep away from sunlight and moisture  
  3. Keep away from the reach of children 

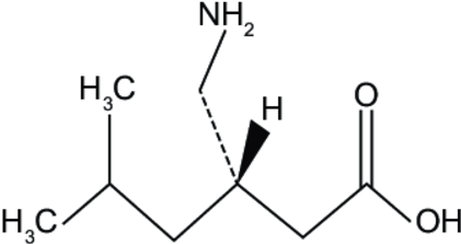
Pregabalin Chemical structure 

IUPAC (International Union of Pure and Applied Chemistry)/ Chemical name-  

(3S)-3-(aminomethyl)-5-methyl hexanoic acid 

Intake routine/cycle 

  1. Daily dose: Take pregabalin exactly as your doctor recommends. The dose may change based on your condition and how well you respond. Do not take more than prescribed without consulting your doctor. 
  2. Missed Dose: If you forget to take your medicine, take the medication soon as you remember. If it’s nearly time for your next dose, skip the missed one and continue with your regular schedule. Always consult the doctor before making any changes to your dosage. 
  3. Overdose: A pregabalin dose of 600 mg or higher is considered an overdose. Symptoms may include seizures, coma, or respiratory depression. Such cases require immediate medical attention to manage potential complications effectively. 

FAQ’s 

1- Can pregabalin be taken long-term? 

In cases of nerve injury caused by an accident, pregabalin can be used for long-term treatment. However, prolonged use may lead to addiction, and missing even a single dose can result in withdrawal symptoms such as anxiety, nausea, and difficulty sleeping. 

2- Can pregabalin cause constipation?

Yes, pregabalin can cause constipation, but the occurrence is quite rare. It can be managed with lifestyle changes (increased water, fiber, exercise) or with osmotic laxatives like polyethylene glycol or stimulant laxatives if needed. Always consult your healthcare provider before starting any laxative treatment. 

3- Can pregabalin and gabapentin be taken together?

Pregabalin and gabapentin are both anticonvulsant medications; however, they should not be taken together as this can increase the severity of side effects such as dizziness, sleepiness, and difficulty concentrating. 

4- Can pregabalin cause weight gain?

Yes, pregabalin can cause weight gain because it increases appetite, leading to a higher intake of food and subsequent weight gain. 

5- Can pregabalin increase creatinine?

Pregabalin can cause higher creatinine levels, but this usually happens in people with kidney problems. If creatinine levels are high, the body has trouble getting excreting pregabalin.  

6- Are pregabalin and gabapentin the same?

Pregabalin and gabapentin are both used to treat seizures, but they differ in how quickly they are absorbed into the bloodstream. Pregabalin is absorbed faster and takes effect more quickly compared to gabapentin.  

Reference 

  1. WebMD. Lyrica (Pregabalin) oral details. Available from: https://www.webmd.com/drugs/2/drug-93965/lyrica-oral/details 
  2. Nielsen VT, Wijayasinghe N, Høgberg LC, Bøgevig S. Case report: A comatose patient with pregabalin overdose successfully treated with continuous renal replacement therapy. Frontiers in Medicine. 2023 Apr 24;10:1125653. 
  3. Rietjens SJ, Sikma MA, Hunault CC, de Lange DW, Hondebrink L. Pregabalin poisoning: Evaluation of dose‐toxicity relationship. British journal of clinical pharmacology. 2022 Mar;88(3):1288-97. 
  4. Graedon J. Lyrica and weight gain: Can it be reversed? The People’s Pharmacy. [cited 2024 Nov 25]. Available from: https://www.peoplespharmacy.com/articles/lyrica-and-weight-gain-can-it-be-reversed 
  5. Drugs.com. Pregabalin Side Effects. Drugs.com. [cited 2024 Nov 25]. Available from: https://www.drugs.com/sfx/pregabalin-side-effects.html 
  6. Mersfelder TL, Nichols WH. Gabapentin: Abuse, Dependence, and Withdrawal. In: StatPearls [Internet]. Treasure Island (FL): StatPearls Publishing; 2024 [cited 2024 Nov 26]. Available from: https://www.ncbi.nlm.nih.gov/books/NBK470341/ 
  7. Mayo Clinic. Pregabalin (Oral Route) Description. In: Mayo Clinic [Internet]. [cited 2024 Nov 26]. Available from: https://www.mayoclinic.org/drugs-supplements/pregabalin-oral-route/description/drg-20067411 

Authors

  • Mahak Phartyal

    Mahak Phartyal completed her bachelor's in pharmacy from Veer Madho Singh Bhandari Uttarakhand Technical University. She previously worked as a Medical Writer at Meril Life Sciences, where she wrote numerous scientific abstracts for conferences such as India Live 2024 and the European Society of Cardiology (ESC). During her college years, she developed a keen research interest and published an article titled “Preliminary Phytochemical Screening, Physicochemical and Fluorescence Analysis of Nyctanthes arbor-tristis and Syzygium cumini Leaves.

    View all posts

Leave a Reply

Your email address will not be published. Required fields are marked *